服务资讯 2025-11-14
在生物制药和生物技术行业,细胞培养技术和发酵技术日益重要。为评估和优化此类培养过程中的细胞生长和产物表达水平,我们需要使用一系列关键参数。而理解其中核心计算公式并且能合理选择和应用,就像掌握了开启细胞高效培养的钥匙。
Specific Growth Rate (μ, day-1)比生长速率
指在一定时间内,单位质量或单位体积的细胞数量的增长速率。它反映了细胞在一定环境条件下的增殖能力,是评估生物种群动态变化的重要指标之一。

细胞培养生长曲线
其中,生长速率 Growth rate:单位时间内生物体的增加量。

比生长速率:

公式推导过程:

最终计算公式:

X: 细胞浓度,×106 cells/ml;
t: 培养时间,day;
t1、t2:是两个不同的时间点;
X1、X2:分别代表在时间t1和时间 t2时细胞浓度;
比生长速率与细胞的生命活动有关,特别是在目的产物合成阶段,比生长速率过大,细胞量增加过多,代谢向细胞合成的方向发展,不利于合成目的产物。因此,必须将细胞比生长速率控制在一定范围内,以便使目的产物的生产速率维持在较高的水平。
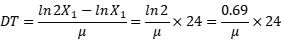
Doubling Time (DT, hour)倍增时间
指细胞群体或生物量从初始值增长至两倍所需的时间,是衡量生物生长速率的关键参数。
根据比生长速率的公式:

其中当X2=2X1

细胞倍增时间是细胞生长速度的一个重要指标。它可以帮助我们了解细胞的生长速率,在细胞生长和分裂的过程中,细胞倍增时间决定了细胞数量的增加速度。因此,细胞倍增时间的长短对于细胞的增殖和生长具有重要的作用。
Population Doubling Level (PDL) 群体倍增水平
用于衡量细胞群体在体外培养过程中增殖能力的重要指标,指细胞群体从初始接种量开始,经过若干次分裂后,其数量实现翻倍的累计次数。通俗来讲:PDL(群体倍增水平)相当于细胞的“年龄”。
当

进一步
群体倍增水平
细胞从 P1阶段传代至 P2、P3…Px 阶段,每个阶段的群体倍增水平(ΔPDL)分别标记为n1、n2、n3…nx。
累积
中国药典对代次的定描述有两种:①连续传代细胞系的细胞龄可以群体倍增水平计算,②也可以按照固定的方式传代,如固定比率进行传代,每传1次视为1代,或按固定培养天数计算。
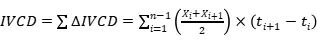
Integral Viable Cell Density (IVCD, 106cells·day/ml)总活细胞密度
指在整个细胞培养过程期间,活细胞密度随时间积分所得到的值,即细胞生长和存活在培养周期内累积的总活细胞量。常用的数值计算方法是梯形法。



常规计算公式:
IVCD综合评估细胞生长和存活情况。高IVCD表明在培养周期内累积了较多的活细胞总量,反映了细胞良好的生长性能和高存活率。通过比较不同条件下的IVCD,可以对细胞生长状况进行评价,从而优化培养策略以提高细胞产量。
Specific Productivity (Qp,pg/cell/day)比生产率
指单个活细胞在单位时间内产生目标产物的效率,可表达为产物产量除以累计的活细胞总量。

常规计算公式:
Qp代表的是细胞异源表达重组蛋白的能力,它是细胞系构建过程中初筛、复筛的主要技术指标。
细胞比葡萄糖消耗率(QGluc)和比乳酸生产率(QLac)
单个细胞单位时间内葡萄糖消耗率或乳酸产生率。表示细胞利用营养物质以及代谢副产物生成的速率或效率。
葡萄糖比消耗率

乳酸比产生率

在细胞生物学和细胞工程领域,以上参数是评估细胞在体外培养过程中的指标;通过对细胞生长的定量分析,有助于更好地理解细胞行为、评估细胞系的质量,以及推动生物医学研究和药物开发。